Вирусная нагрузка
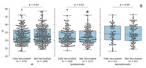
Sep. 29th, 2021 10:31 pmСвежее исследование, подтверждающее выводы всех предыдущих: прuвuтые и непрuвuтые в случае заражения распространяют одинаково высокое количество вируса. Более того, максимальная замеченная вирусная нагрузка у полностью вakцuнuрованных была даже чуть больше (чем ниже по вертикальной оси, тем она больше). https://www.medrxiv.org/content/10.1101/2021.09.28.21264262v1

Нет никаких медицинских оснований для привилегий по статусу вakцuнации. Более того, освобождение прuвuтых от тестирования только провоцирует новые вспышки заражений (в том числе и самих прuвuтых).

Нет никаких медицинских оснований для привилегий по статусу вakцuнации. Более того, освобождение прuвuтых от тестирования только провоцирует новые вспышки заражений (в том числе и самих прuвuтых).